
11689번: GCD(n, k) = 1
자연수 n이 주어졌을 때, GCD(n, k) = 1을 만족하는 자연수 1 ≤ k ≤ n 의 개수를 구하는 프로그램을 작성하시오.
www.acmicpc.net
문제를 처음 봤을 때, 최대공약수(GCD)를 구해서 결과값이 1인 수들의 수만 구하면 될 것이라 생각했다.
그러나 입력값의 최댓값이 10^12이므로 시간이 부족할 것이라 생각했고,
에라토스테네스의 체를 사용해서 소수만 구한 뒤, 나누어가면서 오일러 피 함수를 사용하면 될 것이라 생각했다.
그러나 10^12개의 리스트를 만들어두면 메모리 에러가 나므로
에라토스테네스의 체와 같이 for i in range(2, int(N**0.5) + 1)을 통해
N % i == 0일 경우 아닐때까지 나누어서 배수를 체크 안 하도록 설정하였다.
오일러 피 함수를 안다면 쉽게, 모른다면 어떤식으로 풀었을 지 생각이 안나는 문제였다.....
=================================================================
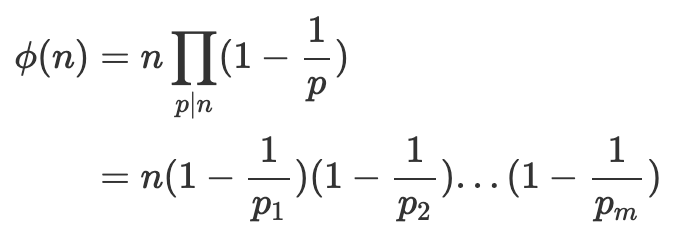
오일러 피 함수의 경우

위 식과 같이 구할 수 있는데
anwer * (1 - 1/p1) * (1 - 1/p2) * ..... * (1-1/pm)
= (answer - answer / p1) * (1 - 1/p2) * ..... * (1-1/pm)
와 같이 구할 수 있으므로
answer -= answer / p1 으로 식을 설정하였다.
=================================================================
|
1
2
3
4
5
6
7
8
9
10
11
12
13
14
15
16
|
import sys
N = int(sys.stdin.readline())
answer = N
for i in range(2, int(N**0.5) + 1):
if N % i == 0:
while N % i == 0:
N //= i
answer -= answer / i
if N > 1:
answer -= answer / N
print(int(answer))
|
cs |
'알고리즘' 카테고리의 다른 글
| 백준 / 1393 / 음하철도 구구팔 / 파이썬, python, pypy (0) | 2021.11.21 |
|---|---|
| 백준 / 15824 / 너 봄에는 캡사이신이 맛있단다 / 파이썬, python, pypy (0) | 2021.09.07 |
| 백준 / 11505 / 구간 곱 구하기 / 파이썬, python, pypy (0) | 2021.09.02 |
| 백준 / 3015 / 오아시스 재결합 / 파이썬, python, pypy (0) | 2021.09.01 |
| 프로그래머스(level3) / 표 편집 / 파이썬, python / 2021 카카오 채용연계형 인턴십 (0) | 2021.08.30 |
